通用装备维修保障资源优化配置策略研究方法
通用装备维修保障资源配置就是根据装备维修保障需求,结合装备维修保障过程合理进行资源调配和动态使用,保证各种资源得到合理利用,防止资源浪费闲置和供不应求。随着以信息化为核心的军事变革深入发展,装备保障建设转型的逐步推进,装备维修保障资源配置受到了深刻的影响。传统的维修保障资源配置模式和方法已不能适应当今信息化条件下维修保障的需求,需要结合新形势下装备维修保障产生的新情况新问题对装备维修保障资源配置进行深入研究,提出适合信息化条件下装备维修保障的资源优化配置策略,提高装备维修保障效率,节省维修经费。装备维修保障的资源优化配置策略应该至少包含备件的需求预测、预防性维修策略的研究和维修保障体系的构建。为了更好的服务装备维修保障策略的优化,最好能够实现软件智能化的维修保障资源分配。
1、 备件需求预测
在备件需求预测方面,最重要的就是确定备件模型,并在此基础上扩展备件预测模型的研究讨论,其中采用贝叶斯方法进行可修备件需要预测是可靠性领域应用最广的,多年来应用于多个领域的数据预测。
(1)泊松分布备件模型
当备件寿命服从指数分布,即具有恒定故障率时,备件消耗服从泊松分布规律。许多电子产品和较复杂的机械产品的消耗服从泊松分布。
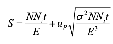
P为备件可用概率,S为所需备件的数量,λ为第i类零部件的故障率,Ni 为一台装备上第i类零部件的数量,即单机基数,t为使用时间或预防缺货的间隔时间。
(2)威布尔分布备件模型
该模型特别适用于磨损故障件,如滚珠轴承、继电器、电子管、电动机、机械液压恒速传动装置、齿轮、材料疲劳等。
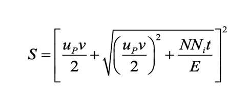
(3)正态分布备件模型
该模型主要适用于轮胎磨损、变压器和灯泡等。
N为装备总数, E为正态分布寿命件均值,σ为标准差,t为更换周期。
(4)可修复备件需求预测
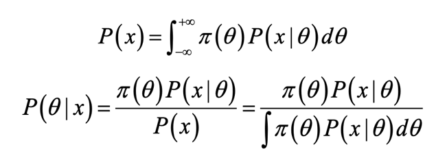
贝叶斯方法是可靠性领域应用最广的预测模型,多年来应用于多个领域的数据预测。其是先通过先验概率分布对主观和先验信息进行描述,之后通过似然函数对收集到的样本数据信息进行描述,最终通过先验概率以及似然概率分布对后验分布进行明确。应用贝叶斯理论方法进行预测,预测模型如下:
贝叶斯统计的核心环节在于采用主观与客观相结合的方法对贝叶斯先验概率进行明确,主要方法包括:
(1)共轭分布族
先验分布为共轭分布强调先验分布和后验分布属于相同的分布类型。
(2)最大熵原则
要求在缺少以往未知参数认知的基础之上,应优先选择参数变化范畴当中的熵最大分布,通过该原则能够证明贝叶斯假设与信息论相符。
(3)杰弗莱原则
在明确先验分布时,对其起到决定性作用的函数分布应符合相应的关系式,同时通过费歇信息阵的一个不变性质明确先验分布。
2、预防性维修策略
目前的装备对于预防性维修往往考虑的较少,但进行预防性维修能够大大的提高装备效能,是非常重要的策略,而且能够大幅度减少维修费用。因此生产单位应该在产品研制阶段就开展预防性维修策略的研究,在产品投入使用后定期的开展预防性维修,以降低产品的维修费用,增加产品的利润。
考虑维修费用的预防性维修策略研究
则在单位时间维修总费用为:
3、实现资源整体配置优化
针对新形势下陆军通用装备新老共存,新列装武器装备集成化高、模块性强、可维修性好,以及基层维修官兵文化程度普遍提高的现实情况,采用二、三级维修保障相结合的混合维修体制,以克服原有三级维修体制层次过多、装备器材下发过程复杂,送修程序繁琐、维修周期长的缺点。
我军大部分装备仍然采用定期大中修的预防维修模式,存在维修对象不准确,送修和审批程序繁琐、不合理的 全面拆卸等问题,容易造成维修资源浪费、装备完 好率下降和维修周期过长。采用无损检测技术、基于状态维修、建立装备保障信息共享环境和整合优化并行工作等手段,优化装备大、中修流程,能够大幅度提高维修资源利用率,节省经费,提高装备完好率。
4、维修保障资源优化配置工具开发
可靠性起源于二战时期的美国,国外在可靠性、维修性和保障性等方面都获得了飞速发展。国内也应该致力于发展通用质量特性仿真工具的开发,尤其是对于维修性和保障性方面,应加快开展维修保障资源优化配置工具开发。
维修保障资源优化配置工具是根据决策要求,经过系统模块的划分,模块功能的定义,数据库和仿真逻辑的设计等流程进行实现的,维修保障资源优化配置工具分为四个层次,分别为前端UI、展示层、功能层和逻辑层。备件需求预测功能包含可修复备件需求预测和不可修复备件预测两部分,根据不可修复备件消耗预测模型和可修复备件消耗预测模型,分别构建相应的功能模块。资源优化配置模块应包含体系的构建,二、三级维修保障相结合的混合维修体制,并分别构建相应的功能模块。
5、维修保障资源优化配置工具开发要求
一、性能要求
(1)准确性
系统各项功能确保准确无误,都能够满足系统功能的需求,在系统运行的过程中性能稳定,数据的计算和展示都能够准确无误。
(2)稳定性
系统能够稳定正常运行,不出现以下情况:无故退出系统;发生系统不可控制的故障提示;因应用软件故障导致操作系统或机器无法正常操作。
(3)快速响应
系统对使用人员的操作能做出快速响应。存大数据计算操作时,业务办理过程中不能出现延时现象,要求存3秒内做出响应;精确计算存3秒内响应。
(4)安全功能指标
根据国家有关信息系统安全等级有关规定,结合实际情况,在系统中不会进行任何数据云备份和数据传输,保密级别数据。
(5)防止病毒和恶意代码的破坏
病毒和恶意代码很可能会破坏终端的正常使用,还可能会将机密信息不知不觉地传给他人。
(6)系统要具备严格的安全加密
对于关键及敏感的数据,不做记录存储和备份,不允许任何人进行直接访问数据和导出数据。
(7)代码安全审计
对应用软件进行恶意代码扫描和安全脆弱性分析。
(8)数据安全
高度重视该项目的所有数据,结合实际使用场景进行数据处理,不允许跨客户端同步数据和查看数据。
(9)物理安全
物理安全要解决的问题包括物理访问控制、防盗防雷防火防水、湿度温度控制、电力供应等。
(10)操作系统安全
操作系统作为系统安全的重要环节,操作系统的安全也关系到整个系统的安全防护水平。也要注意操作系统的安全配置,提升整个系统的安全系数。
二、系统可靠性/可维护性及保障性
(1)可靠性保障措施
系统应从系统结构、技术措施、设备选型和安装校验等方面综合考虑,确保系统整体运行的可靠性和安全性。
(2)可维护性设计措施
系统采用模块化设计,各个功能模块之间相对独立,对需要进行维护的部分能够很容易的修改;系统的编码风格统一,易于系统维护人员阅读和理解;系统提供的文档表述清晰明确,方面维护人员阅读理解,维护人员能够通过文档容易的对项目进行维护。
(3)保障性设计措施
提供统一报障电话,统一报障、统一维修接口,可以通过统一的报障电话申请服务、查询服务处理 进程,跟踪处理进度,确保服务时效性、控服质量、调查用户满意度。
